Simulates model parameters with user-defined copulas and marginals.

mvrcop(n, mvdc, ...)

# S4 method for class 'numeric,FLModelSim'
mvrcop(n, mvdc, copula, ...)

Arguments

n

the number of iterations

mvdc

an FLModelSim object

...

arguments to be passed to the copula methods

copula

the name of the copula to be used

Value

an FLModelSim object with n groups of parameters

Examples

mm <- matrix(NA, ncol=3, nrow=3)
diag(mm) <- c(100, 0.001,0.001)
mm[upper.tri(mm)] <- mm[lower.tri(mm)] <- c(0.1,0.1,0.0003)
md <- ~linf*(1-exp(-k*(t-t0)))
prs <- FLPar(linf=120, k=0.3, t0=0.1, units=c("cm","yr^-1","yr"))
vb <- FLModelSim(model=md, params=prs, vcov=mm, distr="norm")
pars <- list(list(a=90, b=125, c=120), list(a=0.2, b=0.4), list(a=0, b=0.4, c=0.1))
vbSim <- mvrcop(10000, vb, copula="archmCopula", family="clayton", param=2, 
   margins="triangle", paramMargins=pars)
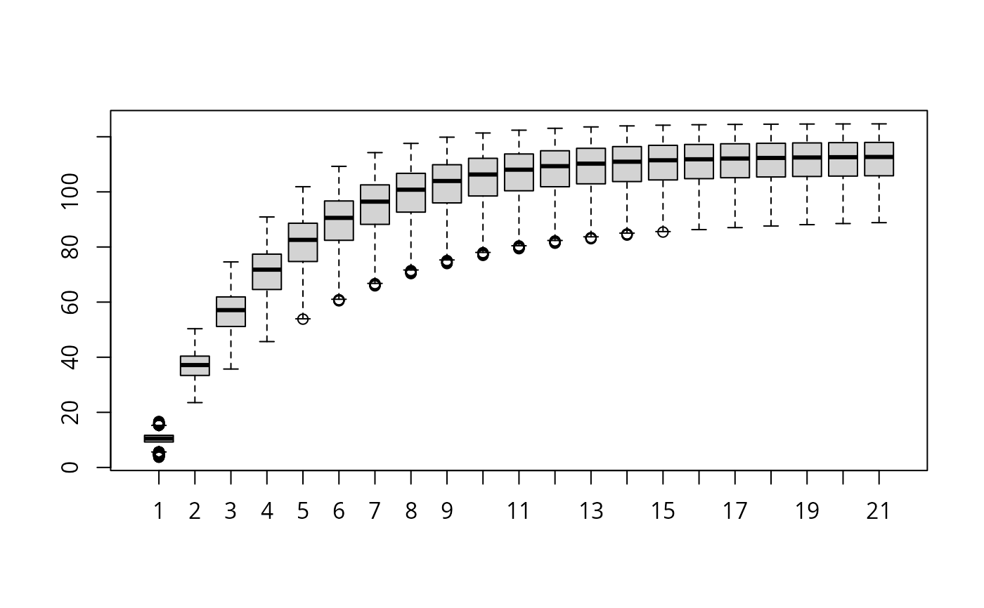
boxplot(t(predict(vbSim, t=0:20+0.5)))

splom(data.frame(t(params(vbSim)@.Data)), pch=".")